Y6-4Cl,Y6-EH-4Cl,cas2447642-40-0
【产品介绍】:
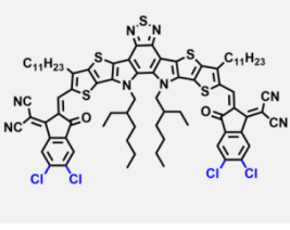
Y6-4Cl|cas2447642-40-0
CAS号:2447642-40-0
英文名称:Y6-EH-4Cl
英文同义词:Y6-4Cl;Y6-EH-4Cl;Y7/BTP-4Cl;Y6-EH-4Cl,Y7
中文名称:Y6-EH-4Cl
中文同义词:Y6-4CLCBNumber:CB08066303
分子式:C82H86Cl4N8O2S5

Product No: LT-S9491
Product Name: Y7, BTP-4Cl
Chemical Name: 2,2’-((2Z,2’Z)-((12,13-Bis(2-ethylhexyl)-3,9-diundecyl-12,13-dihydro-[1,2,5]thiadiazolo[3,4-e]thieno-[2”,3’’:4’,5’]-thieno[2’,3’:4,5]pyrrolo[3,2-g]thieno-[2’,3’:4,5]thieno[3,2-b]-indole-2,10-diyl)bis(methanylylidene))-bis(5,6-dichloro-3-oxo-2,3-dihydro-1H-indene-2,1-diylidene))dimalononitrile
CAS No: 2447642-40-0
Grade: > 99% (NMR)
Formula: C82H86Cl4N8O2S5
M.W.: 1517.75 g/mole
UV: 746,839nm(in CHCl3)
HOMO: -5.68 eV
LUMO: -4.14 eV
Availability: In Stock
Specification: PCE : 16.5%(with PM6)
Reference: Commun., 10,2515, 2019
相关产品:
OLED 材料
cas2376325-67-4 mPAC
TDBA-SAF
cas2506256-67-1 PAC
cas1623010-64-9 TXO-PhCz
cas1623010-63-8 TXO-TPA
PFSO
PFSO-T5
PF-TD2PO1
PF-TD2DV2
PFSO-BT1
PFSO-DTBT1
电子传输材料
cas1480371-38-7 Phen-NaDPO
cas2244035-12-7 TRZ-m-Phen
cas131159-39-2 C60
cas160848-22-6 PC61BM
空穴传输材料
cas1333317-99-9 PTAA
cas472960-35-3 Poly-TPD
cas2243991-97-9 S-Poly-TPD
cas207739-72-8 Spiro-OMeTAD
OPV 给体材料
PTzBI-Cl
PFBT4T-C5Si-25% (Si25)
NTOD
FBT-Th4
购买须知:
1.关于颜色
产品因分子量不同,产品性状和颜色会有差别。
2.关于客服
如您的咨询没能及时回复,可能是当时咨询量过大或是系统故障。
我们将提供售后服务。
3.关于发货
我们的合作快递公司有顺丰、圆通、申通、韵达。
温馨提醒:仅供科研zhn2021.08.09




德尔塔官方微信