PLGA5K-mPEG2K 50/50 甲氧基-聚乙二醇-聚乳酸-羟基乙酸共聚物
发布时间:2021-08-02     作者:zhn   分享到:
【产品介绍】:
PLGA5K-mPEG2K 50/50
mPEG-PLGA
甲氧基-聚乙二醇-聚乳酸-羟基乙酸共聚物 甲氧基 聚乙二醇 聚乳酸-羟基乙酸共聚物 甲氧基-PEG-聚乳酸-羟基乙酸共聚物
PLGA-PEG-M M-PEG-PLGA mPEG-PLGA
产品信息
CAS号:N/A
外 观 : 半固体或固体,取决于分子量。
溶解性:有机溶剂等
PLGA分子量:可定制
PEG分子量: 1000、2000、3400、5000、10000
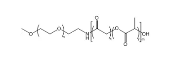
结构式:

注意事项
避免频繁解冻,现配现用。
存储条件
-20℃以下冰冻、干燥、避光。长期保存惰性(氩气或者氮气)保护。
产品化学性质
PEG-PLGA可用于靶向药物研究并广泛应用于蛋白载体及配基的交联等。可制成载药的微球、微囊、囊泡、胶束,用于实现药物的缓释、控释,也可作为成亲水性较好的组织工程支架材料。
小编zhn2021.08.02




德尔塔官方微信