德尔塔
您当前所在位置:首页 > 分析科学 > 新品上市

MAL-NOTA|MAL-DOTA大环配体配合物 储存条件:-20

发布时间:2021-08-06     作者:wyf   分享到:

【产品介绍】:

MAL-NOTA|MAL-DOTA大环配体 储存条件:-20

配合物根据其结构特征,可将配合物分为以下几种类型: 简单配合物、螯合物、多核配合物、羰基配合物、金属簇状配合物、夹心配合物、大环配体配合物。

大环配体配合物是指环状骨架上带有ONP S 等多个配位原子的多齿配体形成的环状配合物。

配合物由内界和外界两部分组成。内界为配合物的特征部分(即配位个体),是一个在溶液中相当稳定的整体,在配合物的化学式中以方括号标明。方括号以外的离子构成配合物的外界,内界与外界之间以离子键结合。内界与外界离子所带电荷的总量相等,符号相反。显然,中性配位个体只有内界,没有外界。以[Cu(NH3)4]S04为例,其组成可表示为

image.png

齐岳现有以下两款现货供应:

MAL-NOTA大环配体

Maleimide-NOTA

外观:白色固体

分子量:685.43 g.mol-1

溶解度:有机溶剂

纯度:90%

储存条件:-20

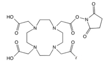
结构式:

image.png

MAL-DOTA

Maleimide-DOTA-GA/MAL-DOTA-GA大环配体

外观:白色固体

分子量:598.6 g.mol-1

溶解度:有机溶剂

纯度:90%

储存条件:-20

其他信息:

结构式:

image.png

相关列表:

Eu-DOTA-4Am CAS:481668-57-9

Tm-p-SCN-Bn-DOTA CAS:2126179-32-4

Gd-p-SCN-Bn-DOTA CAS:2126179-26-6

Ho-p-SCN-Bn-DOTA CAS:2126179-28-8

Tm-Maleimido-DOTA CAS:1552305-24-4

Ho-Maleimido-DOTA CAS:1349103-97-4

Gd-DO3A-Butylamine CAS:782423-00-1

Bis-CBZ-Cyclen         CAS:162148-45-0

Tris-BOC-Cyclen CAS:175854-39-4

NO2A-(t-Bu ester) CAS:174137-97-4

DO2A-tert-butyl ester CAS:162148-48-3

DO3A-tert-butyl ester   CAS:122555-91-3

DOTA-tris(tBu)ester CAS 137076-54-1

DOTA-GA(tBu)4    CAS 306776-79-4

DOTA tris(tBu)ester NHS ester   CAS 819869-77-7

Maleimide-DOTA    CAS 1006711-09-5

Maleimide-DOTA-GA  CAS 1800229-46-2

DOTA-GA-Anhydride  CAS 1375475-53-8

p-NCS-Bz-DOTA-GA   

DO3AtBu-N-(2-aminoethyl)ethanamide    CAS 173308-19-5

NH2-DOTA-GA   CAS 1639843-65-4 

NH2-PEG4-DOTA

NH2-PEG4-DOTA-GA  CAS 137076-54-1

Propargyl-DOTA-tris(tBu)ester    CAS 911197-00-7  

BCN-DOTA

BCN-DOTA-GA

TA-DOTA  CAS 137076-54-1

TA-DOTA-GA

DO3AM-acetic acid CAS 913528-04-8

DO3AM-N-(2-aminoethyl)ethanamide

DOTA di(tBu)ester   CAS 913542-71-9

NOTA-bis(tBu)ester  CAS 1161415-28-6

NODA-GA(tBu)3  CAS 438553-50-3

NOTA-NHS ester  CAS 1338231-09-6

NODA-GA-NHS ester CAS 1407166-70-4

Maleimide-NOTA    CAS 1295584-83-6

Maleimide-NODA-GA  CAS 1440903-11-6

p-NCS-benzyl-NODA-GA CAS 1660127-21-8

NH2-NODA-GA  CAS 1630114-57-6

NH2-PEG4-NODA-GA   

Propargyl-NOTA(tBu)2

BCN-NODA-GA

NCS-MP-NODA CAS 1374994-81-6

NH2-MPAA-NODA

DTPA-tetra(tBu)ester CAS 180152-83-4

DTPA-bis anhydride  CAS 23911-26-4

Maleimide-DTPA   

THP(BZ)3-NH2  CAS 827331-42-0

THP-Mal CAS 1314929-99-1

THP-NCS CAS 1807847-98-8

NOPO              CAS 1397275-76-1

p-NCS-Bz-DFO CAS 1222468-90-7

DO2AtBu  CAS 162148-48-3

DO3AtBu   CAS 122555-91-3

DO3AM    CAS 331230-43-4

DOTAM          CAS 157599-02-5

DOTAEt    CAS 137076-50-7

NO2AtBu  CAS 174137-97-4

NOTAM           CAS 180299-76-1

TETRAM    CAS 220554-75-6

TETAEt    CAS 126320-57-8

TETAMEt2 CAS 126320-56-7

TETAMMe2  CAS 345612-68-2

TETAM    CAS 345612-63-7

CB-TE2A  CAS 313229-90-2   

TRITRAM    CAS 1301738-72-6

温馨提示:西安齐岳生物供应产品仅用于科研,不能用于人体

小编:wyf  08.06