cas:654061-20-8|MIL-53(Al)|金属有机骨架材料
							发布时间:2021-07-16     作者:axc   分享到:
							
								
								
							
						
						【产品介绍】:
产品名称:MIL-53(Al)
其他名称:Basolite A100
CAS:654061-20-8
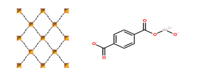
分子式:C8H4O5Al
分子量:207.09
配位金属:Al
配体:对苯二甲酸(CAS:100-21-0)
孔径:垂直孔道:0.8nm*1.3nm
孔容:0.7 cm3/g
比表面:BET比表面 900-1100 m2/g
产品形貌:白色粉末 White Powder
粒径:5-10um 不规则片块
〖结构〗

〖稳定性〗
1) MIL-53(Al)在空气中较稳定,在水溶液和碱性条件较为稳定
2) 高热稳定性、热分解温度大于400℃
〖保存和活化方法〗
1) 常温或低温条件下,干燥密封保存
2) 建议使用前150度(真空)烘箱活化3小时
〖应用领域〗
1) 气体(如二氧化碳)和污染物吸附
2) 作为路易斯酸催化剂
3) 柔性的一维菱形孔道结构,并且客体分子或机械压力能诱导材料结构发生“小孔-大孔-小孔”呼吸效应。
表征图谱
〖表征图谱〗

NH2-MIL-53(Al);氨基功能化修饰的MIL-53(Al)金属有机框架材料
NH-MIL-101(Al);氨基功能化MIL-101(Al)金属有机框架材料
双(N,N'-二甲基哌嗪)四[碘化铜];MOF金属有机框架材料
NH2-MIL-101(Fe);氨基功能化修饰MIL-101(Fe)
NH2-MIL-53(Fe);氨基功能化MIL-53(Fe)
NU-1200(Zr,HF,Ce,Th),MOF有机金属框架材料




 德尔塔官方微信
德尔塔官方微信