UDP-6-Biotinyl-GalNAc和UDP-2-Biotinyl-GalNAc
【产品介绍】:
UDP-6-Biotinyl-GalNAc和UDP-2-Biotinyl-GalNAc
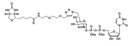
UDP-6-Biotinyl-GalNAc
生物素偶联N-乙酰半乳糖胺
结构式

用途:科研
状态:固体/粉末
产地:西安
储存时间:1年
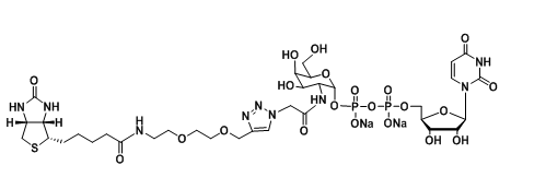
UDP-2-Biotinyl-GalNAc
生物素标记N-乙酰半乳糖胺
结构式

纯度:98%
厂家:西安齐岳生物
保存:冷藏
储藏条件:-20℃
货期:现货
相关产品:
UDP-GlcNAz
UDP-GalNAz; Uridine 5’-diphospho-N-acetylazidogalactosamine disodium salt
Uridine 5’-diphopho-N-acetylazidoglucosamine disodium salt
UDP-GlcNAz
UDP-GlcNAz; Uridine 5’-diphopho-N-acetylazidoglucosamine disodium salt
UDP-6-N3-Glucose
UDP-6-azido-6-deoxy-D-Glc
Uridine 5’-diphospho-6-
azido-6-deoxy-D-glucose disodium salt;UDP-6-azido-6-deoxy-D-glucose disodium salt
UDP-6-N3-Galactose
UDP-6-azido-6-deoxy-D-Gal
Uridine 5’-diphospho-6-azido-6-deoxy-D-galactose disodium salt;UDP-6-azido-6-deoxy-D-galactose disodium salt
UDP-6-N3-GlcNAc
UDP-2-alkynyl-GlcNAc
UDP-2-carbonyl-GlcNAc
UDP-6-Biotinyl-GlcNAc
UDP-2-Biotinyl-GlcNAc
UDP-6-N3-GalNAc
UDP-2-alkynyl-GalNAc
UDP-6-Biotinyl-GalNAc
UDP-2-Biotinyl-GalNAc
CMP-Neu5Az
CMP-C9-Azido-Sialic Acid
CMP-C5-alkynyl-Sialic Acid
温馨提示:西安齐岳生物科技有限公司供应的产品仅用于科研,不能用于人体和其他商业用途zhn2021.06.16




德尔塔官方微信