UDP-D-半乳糖,cas137868-52-1, 2956-16-3,UDP-galactose,UDP-Gal的各种叫法
【产品介绍】:
UDP-Α-D半乳糖二钠盐,cas137868-52-1
基本参数
【中文名称】UDP-Alpha-D半乳糖二钠盐
【CAS】cas137868-52-1, 2956-16-3
【中文别名】UDP-Α-D半乳糖二钠盐 | 尿苷二磷酸-半乳糖,2Na;UDP-Α-D半乳糖二钠盐;尿苷-5'-二磷酸-Α-D-半乳糖二钠盐;尿嘧啶核苷5'-二磷酸-Α-D半乳糖二钠盐;二磷酸尿苷-半乳糖Chemicalbook二钠盐;UDP-半乳二钠盐;UDP-A-D-半乳糖二钠盐;[1-13C]-尿苷二磷酸-Α-D-半乳糖二钠盐;UDP-Α-D半乳糖二钠盐
【英文名称】UDP-ALPHA-D-GALACTOSE DISODIUM SALT
【英文别称】UDPG DISODIUM SALT;UDP-GALNAC, NA2;UDP-GAL DISODIUM SALT;UDP-GAL, NA2;UDP-GAL;UDP-α-D-Galactose, Disodium Salt - CAS 137868-52-1 - Calbiochem;Uridine Impurity 8 (UDP-Galactose Disodium Salt);UDP-GALACTOSE DISODIUM SALT
理化学性质
【分子式】C15H22N2Na2O17P2
【分子量】610.265
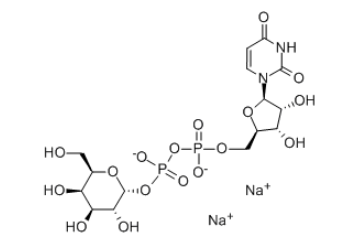
【结构式】

【闪点】27 °C
【精确质量】610.018921
【PSA】322.27000
【稳定性】如果遵照规格使用和储存则不会分解,未有已知危险反应
【水溶解性】H2O: 50 mg/mL, clear, colorless
【性状】固体
137868-52-1, 2956-16-3,UDP-galactose,UDP-Gal的各种叫法:
尿苷-5'-二磷酸-α-D-半乳糖二钠盐
Uridine-5'-diphospho-α-D-galactose disodium salt
UDP-半乳二钠盐
二磷酸尿苷-半乳糖二钠盐
UDP-A-D-半乳糖二钠盐
UDP-D-半乳糖
UDP-α-D-Gal disodium salt
MFCD00077895
UDP-Gal
UDP-α-D-GALACTOSE DISODIUM SALT
UDP-Gal UDP-galactose
UDP-α-D半乳糖二钠盐
UDP-Α-D半乳糖二钠盐
尿苷二磷酸-半乳糖,2Na
盐udp-α-D-半乳糖二钠
尿苷 5'-二二氧磷基半乳糖二钠盐
UDP-半乳糖
UDP-Galactose游离态
UDP-ALPHA-D-GALACTOSE DISODIUM SALT
UDP-GAL(UDP-半乳糖)




德尔塔官方微信