cas108320-89-4|UDP-D-木糖/尿苷二磷酸木糖|UDP-xylose
发布时间:2021-06-10     作者:zhn   分享到:
【产品介绍】:
cas108320-89-4|UDP-D-木糖/尿苷二磷酸木糖|UDP-xylose基本参数
【中文名称】UDP-木糖
【中文别名】UDP-木糖;尿苷二磷酸木糖 (UDP-XYLOSE,CAS 108320-89-4);尿苷二磷酸木糖,钠盐(UDP-XYLOSE,CAS 108320-89-4)
【英文名称】uridine 5'-diphosphoxylose sodium
【英文别名】UDP-xylose; UDP-a-D-xylopyranose;Uridine diphosphate xylose; Uridine diphospho-a-D-xylopyranose; Uridine diphosphoxylose
【分子式】C14H22N2O16P2
【分子量】536.28
【纯度】95%
【产品性状】白色至黄色粉末
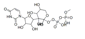
【结构式】

厂家:西安齐岳生物
货期:现货
配送:多种快递
用途:科研
状态:固体/粉末
产地:西安
储存时间:1年
保存:冷藏
储藏条件:-20℃
温馨提示:西安齐岳生物科技有限公司供应的产品仅用于科研,不能用于人体和其他商业用途zhn2021.06.10




德尔塔官方微信