绿色溶剂-离子液体有何优点,如何选择
【产品介绍】:
绿色溶剂-离子液体有何优点,如何选择
西安齐岳生物主要供应的离子液体有咪唑类离子液体、吡啶类离子液体、季铵盐类离子液体、季鏻盐类离子液体、AlCl3型离子液体、非AlCl3型离子液体及其他特殊离子液体等等类,我们供应的产品种类丰富,均有现货。
离子液体(或称离子性液体)是指全部由离子组成的液体,如高温下的KCI, KOH呈液体状态,此时它们就是离子液体。在室温或室温附近温度下呈液态的由离子构成的物质,称为室温离子液体、
室温离子液体作为一类新型的环境友好的"绿色溶剂",其物理和化学性质相对稳定,具有结构可调及可循环利用等特性,被称为绿色溶剂,
离子液体的特点
1.不挥发、不可燃、导电性强、室温下离子液体的粘度很大。
2.热容大、蒸汽压小、性质稳定。
3.对许多无机盐和有机物有良好的溶解性,在电化学、有机合成、催化、分离等领域被广泛的应用。
离子液体的优点
一、离子液体无味、不燃,其蒸汽压很低,因此可用在高真空体系中,同时可减少因挥发而产生的环境污染问题;
二、离子液体对有机和无机物都有良好的溶解性能,可使反应在均相条件下进行,同时可减少设备体积;
三、可操作温度范围宽(-40~300℃),具有良好的热稳定性和化学稳定性,易与其它物质分离,可以循环利用;
四、表现出 Lewis、Franklin 酸的酸性,且酸强度可调
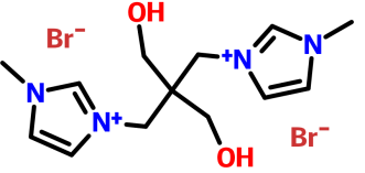
齐岳生物以定制产品之一“离子液体”(N,N-新戊二醇对(N-甲基咪唑)溴盐)举例说明
N,N-新戊二醇对(N-甲基咪唑)溴盐
结构式:
核磁图谱
吡咯烷类离子液体产品:
Cas:69227-51-6 1-乙基-1-甲基吡咯烷溴盐
Cas:501943-03-9 1-乙基-1-甲基吡咯烷甲磺酸盐
Cas:501942-96-7 1-乙基-1-甲基吡咯烷对甲苯磺酸盐
Cas:223436-99-5 1-乙基-1-甲基吡咯烷双三氟甲磺酰亚胺盐
Cas:608140-09-6 1-丙基-1-甲基吡咯烷溴盐
Cas:327022-58-2 1-丙基-1-甲基吡咯烷六氟磷酸盐
Cas:501943-04-0 1-丙基-1-甲基吡咯烷甲磺酸盐
Cas:223437-05-6 1-丙基-1-甲基吡咯烷双三氟甲磺酰亚胺盐
Cas:479500-35-1 1-丁基-1-甲基吡咯烷氯盐
Cas:93457-69-3 1-丁基-1-甲基吡咯烷溴盐
Cas:330671-29-9 1-丁基-1-甲基吡咯烷六氟磷酸盐
Cas:501943-05-1 1-丁基-1-甲基吡咯烷甲磺酸盐
Cas:367522-96-1 1-丁基-1-甲基吡咯烷三氟甲磺酸盐
Cas:223437-11-4 N-丁基,甲基吡咯烷双三氟甲磺酰亚胺盐
吗啉类离子液体产品:
Cas:65756-41-4 N-乙基,甲基吗啉溴盐
Cas:4186-70-3 N-乙基,甲基吗啉碘盐
Cas:117947-86-1 N-乙基,甲基吗啉四氟硼酸盐
Cas:134353-08-5 N-乙基,甲基吗啉六氟磷酸盐
Cas:706785-83-3 N-乙基,甲基吗啉双三氟甲磺酰亚胺盐
Cas:93627-54-4 N-丙基,甲基吗啉碘盐
Cas:696600-68-7 N-丙基,甲基吗啉六氟磷酸盐
Cas:696600-63-2 N-丙基,甲基吗啉双三氟甲磺酰亚胺盐
Cas:75174-77-5 N-丁基,甲基吗啉溴盐
Cas:93627-55-5 N-丁基,甲基吗啉碘盐
Cas:384347-59-5 N-丁基,甲基吗啉四氟硼酸盐
Cas:876690-60-7 N-丁基,甲基吗啉六氟磷酸盐
Cas:324574-95-0 N-丁基,甲基吗啉双三氟甲磺酰亚胺盐
季铵类离子液体产品:
Cas:17787-40-5 四甲基氟化铵.4H2O
Cas:75-57-0 四甲基氯化铵
Cas:64-20-0 四甲基溴化铵
Cas:75-58-1 四甲基碘化铵
Cas:661-36-9 四甲基四氟硼酸铵
Cas:558-32-7 四甲基六氟磷酸铵
Cas:103812-00-6 四甲基硫酸氢铵
Cas:3983-91-3 四甲基对甲苯磺酸铵
Cas:1941-24-8 四甲基硝酸铵
Cas:10581-12-1 四甲基醋酸铵
Cas:75-59-2 四甲基氢氧化铵
Cas:51410-72-1 三甲基乙基氯化铵
Cas:14251-72-0 三甲基丁基氯化铵
Cas:10108-86-8 三甲基辛基氯化铵
Cas:2083-68-3 三甲基辛基溴化铵
Cas:10108-87-9 三甲基癸基氯化铵
Cas:2082-84-0 三甲基癸基溴化铵
Cas:112-00-5 三甲基十二烷基氯化铵
Cas:1119-94-4 三甲基十二烷基溴化铵
Cas:4574/4/3 三甲基十四烷基氯化铵
Cas:1119-97-7 三甲基十四烷基溴化铵
Cas:112-02-7 三甲基十六烷基氯化铵
Cas:57-09-0 三甲基十六烷基溴化铵
Cas:112-03-8 三甲基十八烷基氯化铵
Cas:1120-02-1 三甲基十八烷基溴化铵
Cas:56-93-9 三甲基苄基氯化铵
Cas:554-68-7 三乙胺盐酸盐
Cas:15715-58-9 三乙基碳酸氢铵
Cas:10052-47-8 三乙基甲基氯化铵
Cas:69444-47-9 三乙基甲基四氟硼酸铵
Cas:665-46-3 四乙基氟化铵
Cas:56-34-8 四乙基氯化铵
Cas:71-91-0 四乙基溴化铵
Cas:429-06-1 四乙基四氟硼酸铵
Cas:429-07-2 四乙基六氟磷酸铵
Cas:16873-13-5 四乙基硫酸氢铵
Cas:35895-69-3 四乙基三氟甲磺酸铵
Cas:733-44-8 四乙基对甲苯磺酸铵
Cas:1941-26-0 四乙基硝酸铵
Cas:1185-59-7 四乙基醋酸铵
Cas:30093-29-9 四乙基三氟乙酸铵
Cas:56375-79-2 三丙基甲基氯化铵
Cas:7217-93-8 四丙基氟化铵
Cas:5810-42-4 四丙基氯化铵
Cas:1941-30-6 四丙基溴化铵
Cas:631-40-3 四丙基碘化铵
Cas:56211-70-2 四丙基硫酸氢铵
Cas:4499-86-9 四丙基氢氧化铵
Cas:56375-79-2 三丁基甲基氯化铵
Cas:429-41-4 四丁基氟化铵
Cas:1112-67-0 四丁基氯化铵
Cas:1643-19-2 四丁基溴化铵
Cas:311-28-4 四丁基碘化铵
Cas:429-42-5 四丁基四氟硼酸铵
Cas:3109-63-5 四丁基六氟磷酸铵
Cas:32503-27-8 四丁基硫酸氢铵
Cas:5574-97-0 四丁基磷酸二氢铵
Cas:35895-70-6 四丁基三氟甲磺酸铵
Cas:7182-86-7 四丁基对甲苯磺酸铵
Cas:1941-27-1 四丁基硝酸铵
Cas:10534-59-5 四丁基醋酸铵
Cas:2052-49-5 四丁基氢氧化铵
Cas:5137-55-3 三辛基甲基氯化铵
Cas:35675-80-0 三辛基甲基溴化铵
Cas:35675-86-6 三辛基甲基碘化铵
Cas:59158-14-4 三辛基甲基硫酸氢铵
Cas:1027004-61-0 三辛基甲基2-巯基苯甲酸铵
Cas:375395-33-8 三辛基甲基胺双三氟甲磺酰亚胺盐
季鏻类离子液体产品:
Cas:1702-42-7 三丁基甲基膦碘盐
Cas:7392-50-9 三丁基乙基膦溴盐
Cas:2304-30-5 四丁基膦氯盐
Cas:3115-68-2 四丁基膦溴盐
Cas:121240-56-0 四丁基膦氟盐
Cas:1813-60-1 四丁基膦四氟硼酸盐
Cas:111928-21-3 四丁基膦六氟磷酸盐
Cas:5574-97-0 四丁基膦磷酸二氢盐
Cas:109348-55-2 四丁基膦苯并三唑盐
Cas:105890-71-9 三丁基己基膦溴盐
Cas:57702-65-5 三丁基辛基膦溴盐
Cas:15294-63-0 三丁基十二烷基膦溴盐
Cas:81741-28-8 三丁基十四烷基膦氯盐
Cas:258864-54-9 三己基十四烷基膦氯盐
Cas:374683-55-3 三己基十四烷基膦四氟硼酸盐
Cas:374683-44-0 三己基十四烷基膦六氟磷酸盐
Cas:460092-03-9 三己基十四烷基膦双三氟甲磺酰亚胺盐
Cas:701921-71-3 三己基十四烷基膦二氰胺盐
Cas:465527-65-5 三己基十四烷基膦癸酸盐
Cas:465527-59-7 三己基十四烷基膦双环(2,4,4-三甲基戊基)膦
厂家:西安齐岳生物科技有限公司:
温馨提示:西安齐岳生物科技有限公司供应的产品仅用于科研,不能用于人体。




德尔塔官方微信